设为首页 加入收藏
首页 概况 关注 文章 图片 人才 课题 成果 论文 软件 视频 诗词 书画 科普 下载 编辑部
投稿

现代农业之窗网刊登的署名作品,其内容均为作者本人观点,不代表本网见解。未署名作品为编者文章。欢迎各位网友投稿!稿件请寄邮箱:391039782@qq.com

TOP

建立农田土壤有机质含量预测模型的方法及应用
2010-02-12 16:02:58 来源:黑龙江省农垦科学院 作者:张隐君 李德明 【 】 浏览:5846次 评论:0

    [摘要]本文用非线性规划方法在计算机上建立了农田土壤有机质含量预测模型,并用于一个农场的技术经济长远规划,取得了明显的生态效益和社会效益。

一、引言

  用预测型线性规划制做国营农场的长远规划,必须解决农作物产量趋势预测问题,而产量趋势预测又离不开农田土壤有机质的预测。

  黑龙江垦区在垦荒初期,耕层土壤有机质含量平均值在7%左右,三十多年后有机质下降了2--3%。据分析,在相同气候、土壤类型和农业技术条件下,土壤有机质含量每下降1%,作物减产10%。因此,正确的估算未来农田土壤有机质含量的变化,对预测作物产量,设置线性规划中的利益系数,投入产出系数或技术系数等都是至关重要的。

二、农田土壤有机质含量预测模型

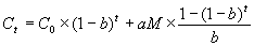
  中国农业科学院土壤肥料研究所王维敏等,在研究黄淮海地区农田土壤有机质平衡时,曾使用下面的公式:

                                     (1)

  式中,b为土壤有机质年矿化率;t为经历年数;Co为原有土壤有机质含量;Ct为经历t年后土壤有机质含量;m为每年加入的新鲜有机质的量,其中包括根茬;a为还田有机质的腐殖化系数。

  但当有机质矿化率b>0.02时,用(1)式估算农田土壤有机质的变化,误差较明显,根据黑龙江垦区的情况,我们用下式来估算土地开垦后耕层有机质含量的变化(导出过程从略)。

                             (2)

  式中,b,t,Co,a,M和Ct的意义与(1)式相同。其中C1和Co均用占土壤重量的百分数表示。用(2)式估算农田土壤有机质的变化,其误差不受土壤矿化率b大小的影响。当b<0.02时,由于1-b=e-b,故(2)式与(1)式等价。

  土壤有机质年矿化率b受土壤、气候、农业技术和作物种类影响,但对某一地区,在农业生产技术变化不大的情况下,b值比较稳定。经测定,黑龙江省在以小麦、大豆和玉米为主栽作物的地区,近三十年来,耕层土壤有机质平均年矿化率在0.02-0.04。

  若每年新加入土壤中的有机质数量M基本不变,则当t→∞时,C∞=aM/b。这表明,若想使土壤有机质稳定在C∞以上,则每年需新加入土壤中的有机质量为b.C∞/a。

  若每年加入土壤中的有机质数量不同,则可用下面的递推公式。逐年推算土壤有机质的含量。

    Ct+1=Ct(1-b)十aMt,                   (3)

  式中b为土壤有机质年矿化率;a为还田有机物的腐殖化系数;Mt为第t年还田新鲜有机质的量;Ct为第t年土壤中有机质含量;Ct+1为第t+l年土壤有机质含量估测值。其中,Mt,Ct和Ct+1均用占土壤重量的百分数表示。

  据测定,黑龙江省主要作物秸杆和根茬的腐殖化系数平均值为0.35。土壤有机质年矿化率b可用土壤普查资料,用非线性规划方法求得。

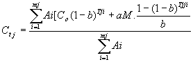
  表一是嘉荫农场土壤有机质含量测定资料,其中i为开荒年份的序号;j为土壤有机质测定序号;Ai为第i次开荒的面积;CTj为第j次测定的土壤有机质平均值(%);Tji为第j次测定时,第i次开荒地块的已垦年限;mj是在第j次土壤有机质测定之前已开荒的次数,包括本年的开荒。

  根据表一资料,设置非线性规划,用黄金分割法求出嘉荫农场土壤有机质年矿化率b为0.03005。将b值代入(4)式,可估算历史上各年土壤有机质含量的平均值。

             (4)

式中,Co=6.4;aM=0.012;Ctj是编号为j的那一年土壤有机质的理论估算值。mj、Ai、Tji在表一中均可查到。用(4)式算得理论值与实测值误差的绝对值小于或等于0.12%。

  1984年以后,嘉荫农场没有荒地可开。土壤有机质可用下式估算:

                  (5)

  式中,t为年数,1984年为0,1985年为1,以下类推;Co=4.69,为1984年土壤有机质实测值,M为每年加入土壤中的新鲜有机质的数量,用占土壤重量百分数表示;Ct为年数为t时,土壤有机质的估算值(%)。

  嘉萌农场若未来不实行秸杆还田,不大力发展畜牧业,则(5)式中的m=0.0343(%),到2000年土壤有机质将下降到3.03%;若设法使每年加入土壤中的新鲜有机物折合成腐殖质的量平均达到0.068(%),到2000年土壤有机质可保持在3.61%以上,比前者提高0.58%。

三、农田有机质预测模型在嘉荫农场1989--2000年技术经济发展规划中的应用

  嘉荫农场位于黑龙江省北部,全场有山地42亩,耕地24万亩,水面2万亩,草原2.7万亩,自然资源比较丰富。但是,该场自建场以来一直是以农业为主体,农业又以种植业为主的单一经营类型的国营农场。由于生产结构不尽合理,当地的自然资源优势没有充分发挥,多年来经济效益不高。1964--1979年曾连年亏损,1980年以后由于农业技术水平的提高。国家对农业经济政策的改善和经济体制改革的发展,农场才转为盈利。1988年投资500万元建成了年处理大豆10000吨的浸油厂,投资132万元建成了粮食烘干工厂,使农场工农业生产进一步出现了好势头。

  但是,系统诊断表明:该场有限的耕地已成为经济发展的限制因素。全场24万亩耕地,若用三分之一(8万亩)种大豆,按单产113kg/亩计算,总产可达9000吨,其中上交3500吨、留种560吨,剩余的4940吨仅够浸油厂半年生产。当前,嘉荫农场已基本上没有可垦荒地。提高粮豆总产,只有靠单产的提高。提高单产的措施之一就是设法改善或保持作物的生态环境。其中包括要使土壤有机质保持在某一水平之上。为此,在线性规划中设置了关于有机质平衡的约束条件和土壤有机质对产量预测模型的反馈,(见图一)。在计算机上的运行步骤如下:

  (1)运行开始后,为线性规划模型设置初始参数阵;

  (2)线性规划模型分别调用经济系统模型、人口预测模型、作物产量预测模型和土壤有机质预测模型进行参数阵的修改;

  (3)线性规划模型用单纯形法求解,得出一年优化结果;

  (4)若未到2000年,则进行反馈,设置下一年的参数阵,求下一年最优解;

  (5)如此反复,直到得出1989--2000年的优化结果。




图一 预测型线性规划流程图


  优化结果表明,在未来12年内嘉荫农场需兴建一座年产1000吨奶粉的乳品厂,一座年产300--600吨的小型罐头厂;养奶牛1769头,肥猪1250头,肉鸡24万只;小麦秸杆全部还田,连同人畜粪,每年反回土壤中的腐殖质量为0.068%。 用(5)式估算2000年土壤有机质含量为3.61%,比不采取规划措施到2000年时土壤有机质含量(3.03%)高0.58%。2000年粮豆总产可达43376吨,其中大豆单产152.9kg/亩,总产12232吨。大豆上交3500吨,留种560吨,剩余8172吨,可供浸油厂81%的时间开工。如再从农场附近农村收购部分大豆,则基本可保证浸油厂全年开工。

  经过规划,不仅取得了生态效益和社会效益,而且还使产业结构进行了大幅度调整,取得了明显的经济效益(见表二)。



表一 嘉荫农场土壤有机质测定资料


表二 嘉荫农场1989-2000年利润构成的调整



参考文献

  (1)王维敏等,黄淮海地区农田土壤有机质平衡的研究,中国农业科学,1988年,21(1),19--26

  (2)范鸣玉等,最优化技术基础。106--111页,清华大学出版社,1982年11月;

  (3)张象枢,农业系统工程概论,225--406页,山东科学技术出版社,1987年9月;

  (4)竺开华等,农业系统线性规划,15--47页,山东科学出版社,1987年9月;

  (5)梁荣欣,农业系统工程引论,83--117页,气象出版社,1986年6月;

  (6)杨广林,农业系统工程,117--224页,东北农学院,1984年。

[注]本文出处:全国农业计算机应用技术学术交流会(第二届)论文集.《计算机农业应用》专刊,1992.10:83~86

Tags:农田 土壤有机质 含量 预测模型 方法 应用 责任编辑:lidm
】【打印繁体】【投稿】【收藏】 【推荐】【举报】【评论】 【关闭】 【返回顶部
上一篇基于模型的春小麦产量预测专家系统 下一篇气候对乳牛产乳的影响

相关栏目

最新文章

图片主题

热门文章

推荐文章

相关文章